Investigation of physical education classroom teaching using AHP with IV-CIFS-based aggregation operators
The following subsection introduces IV-CIFDWA and IV-CIFDWG AOs as operators within a new familial grouping. The research analyzed basic principles that apply to AOs by examining idempotency, boundedness, and monotonicity.
Definition 6
Let \({{{\ddot{\upalpha}}}}=([{{\beta }_{\upalpha^{\prime\prime}}}_{{\dot{\text{M}}}}^{l}\left({\varkappa }\right), {{\beta }_{\upalpha^{\prime\prime}}}_{{\dot{\text{M}}}}^{u}\left({\varkappa }\right)],\)\([{{\nu }_{\upalpha^{\prime\prime}}}_{\mathcal{n}}^{l}\left({\varkappa }\right), {{\nu }_{\upalpha^{\prime\prime}}}_{\mathcal{n}}^{u}\left({\varkappa }\right)],\)\([{{\eta }_{\upalpha^{\prime\prime}}}_{\lambda }^{l}\left({\varkappa }\right), {{\eta }_{\upalpha^{\prime\prime}}}_{\lambda }^{u}\left({\varkappa }\right)]) \left(i=\text{1,2}, \dots , n\right)\) be some IV-CIFVs. Then, the IV-CIFDWA is a function \({{{\ddot{\upalpha}}}}^{n} \to {{\ddot{\upalpha}}}\) as:
$$IV-CIFDWA\left({{{\ddot{\upalpha}}}}_{1}, {{{\ddot{\upalpha}}}}_{2}, \dots , {{{\ddot{\upalpha}}}}_{n}\right)={\oplus }_{i=1}^{n}{\upvarepsilon }_{i}{{{\ddot{\upalpha}}}}_{i}$$
where \(\upvarepsilon ={\left({\upvarepsilon }_{1}, {\upvarepsilon }_{2}, \dots , {\upvarepsilon }_{n}\right)}^{t}\) be the weight vector (WV) of \({{{\ddot{\upalpha}}}}_{i}\left(i=\text{1,2}, \dots , n\right), {\upvarepsilon }_{i}>0\), and \({\sum }_{i=1}^{n}{\upvarepsilon }_{i}=1.\)
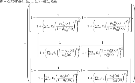
Theorem 1
Consider \({{{\ddot{\upalpha}}}}_{i}=([{{\beta }_{\upalpha^{\prime\prime}}}_{{\dot{\text{M}}}}^{l}\left({\varkappa }\right), {{\beta }_{\upalpha^{\prime\prime}}}_{{\dot{\text{M}}}}^{u}\left({\varkappa }\right)],\)\([{{\nu }_{\upalpha^{\prime\prime}}}_{\mathcal{n}}^{l}\left({\varkappa }\right), {{\nu }_{\upalpha^{\prime\prime}}}_{\mathcal{n}}^{u}\left({\varkappa }\right)],\)\([{{\eta }_{\upalpha^{\prime\prime}}}_{\lambda }^{l}\left({\varkappa }\right), {{\eta }_{\upalpha^{\prime\prime}}}_{\lambda }^{u}\left({\varkappa }\right)]) \left(i=\text{1,2}, \dots , n\right).\) The aggregated value of them via an IV-CIFDWA operation is then IV-CIFV, and.

where \(\upvarepsilon ={\left({\upvarepsilon }_{1}, {\upvarepsilon }_{2}, \dots , {\upvarepsilon }_{n}\right)}^{t}\) be the weight vector of \({{{\ddot{\upalpha}}}}_{i}\left(i=\text{1,2}, \dots , n\right), {\upvarepsilon }_{i}>0\) and \({\sum }_{i=1}^{n}{\upvarepsilon }_{i}=1.\)
Proof is provided in the appendix section.
Theorem 2
(Idempotency property) If \({{{\ddot{\upalpha}}}}_{i}=\left(\left[{{\beta }_{i}}_{{\dot{\text{M}}}}^{l}, {{\beta }_{i}}_{{\dot{\text{M}}}}^{u} \right], \left[{{\nu }_{i}}_{\mathcal{n}}^{l}, {{\nu }_{i}}_{\mathcal{n}}^{u}\right], \left[{{\eta }_{i}}_{\lambda }^{l}, {{\eta }_{i}}_{\lambda }^{u}\right]\right)\left(i=\text{1,2}, \dots , n\right)\) be some IV-CIFVs, all of which are identical, i.e., \({{{\ddot{\upalpha}}}}_{i}={{\ddot{\upalpha}}}\) for all \(\text{i},\) where
\. Then:\({{\ddot{\upalpha}}}=(\beta , \nu , \eta )\)
$$\text{IV}-\text{CIFDWA}\left({{{{\ddot{\upalpha}}}}}_{1}, {{{{\ddot{\upalpha}}}}}_{2}, \dots , {{{{\ddot{\upalpha}}}}}_{n}\right)={{{\ddot{\upalpha}}}}$$
Proof is provided in the appendix section.
Theorem 3
(Boundedness property) If \({{{\ddot{\upalpha}}}}_{i}=\left(\left[{{\beta }_{i}}_{{\dot{\text{M}}}}^{l}, {{\beta }_{i}}_{{\dot{\text{M}}}}^{u} \right], \left[{{\nu }_{i}}_{\mathcal{n}}^{l}, {{\nu }_{i}}_{\mathcal{n}}^{u}\right], \left[{{\eta }_{i}}_{\lambda }^{l}, {{\eta }_{i}}_{\lambda }^{u}\right]\right)\left(i=\text{1,2}, \dots ,n\right)\) be some IV-CIFVs. Let \({{{\ddot{\upalpha}}}}^{-}=\text{m}in\left\{{{{\ddot{\upalpha}}}}_{1}, {{{\ddot{\upalpha}}}}_{2}, \dots , {{{\ddot{\upalpha}}}}_{n}\right\}\) and \({{{\ddot{\upalpha}}}}^{+}=\text{m}ax\left\{{{{\ddot{\upalpha}}}}_{1}, {{{\ddot{\upalpha}}}}_{2}, \dots , {{{\ddot{\upalpha}}}}_{n}\right\}.\) Then \(, {{{\ddot{\upalpha}}}}^{-}\le IV-CIFDWA\left({{{\ddot{\upalpha}}}}_{1}, {{{\ddot{\upalpha}}}}_{2}, \dots , {{{\ddot{\upalpha}}}}_{n}\right)\le {{{\ddot{\upalpha}}}}^{+}\).
Proof is provided in the appendix section.
Theorem 4
(Monotonicity property) Let \({{{\ddot{\upalpha}}}}_{i}\) and \({{{\ddot{\upalpha}}}}_{i}^{\prime}\left(i=1, 2,\dots ,n\right)\) be two sets based on IV-CIFVs, \({{{\ddot{\upalpha}}}}_{i}\le {{{\ddot{\upalpha}}}}_{i}^{\prime}\) for all \(i,\) then IV-CIFDWA \(\left({{{\ddot{\alpha}}}}_{1}, {{{\ddot{\upalpha}}}}_{2}, \dots , {{{\ddot{\upalpha}}}}_{n}\right)\le IV-CIFDWA\left({{{\ddot{\upalpha}}}}_{1}^{\prime}, {{{\ddot{\upalpha}}}}_{2}^{\prime},\dots , {{{\ddot{\upalpha}}}}_{n}^{\prime}\right).\)
Definition 7
Let \({{{\ddot{\upalpha}}}}_{i}=\left(\left[{{\beta }_{i}}_{{\dot{\text{M}}}}^{l}, {{\beta }_{i}}_{{\dot{\text{M}}}}^{u}\right], \left[{{\nu }_{i}}_{\mathcal{n}}^{l}, {{\nu }_{i}}_{\mathcal{n}}^{u}\right], \left[{{\eta }_{i}}_{\lambda }^{l}, {{\eta }_{i}}_{\lambda }^{u}\right]\right)\left(i=\text{1,2}, \dots ,n\right)\) some of them may be some IV-CIFVs, and the aggregated value through the IV-CIFDWG operation is also some IV-CIFVs, and.

where \(\upvarepsilon ={\left({\upvarepsilon }_{1}, {\upvarepsilon }_{2}, \dots , {\upvarepsilon }_{n}\right)}^{t}\) be the weight vector of \({{{\ddot{\upalpha}}}}_{i}(i=1, 2, \dots , n)\), \({\upvarepsilon }_{i}>0\), and \({\sum }_{i=1}^{n}{\upvarepsilon }_{i}=1.\)
Theorem 5
Let \({{{\ddot{\upalpha}}}}_{i}=\left(\left[{{\beta }_{i}}_{{\dot{\text{M}}}}^{l}, {{\beta }_{i}}_{{\dot{\text{M}}}}^{u}\right], \left[{{\nu }_{i}}_{\mathcal{n}}^{l}, {{\nu }_{i}}_{\mathcal{n}}^{u}\right], \left[{{\eta }_{i}}_{\lambda }^{l}, {{\eta }_{i}}_{\lambda }^{l}\right]\right) \left(i=\text{1,2}, \dots , n\right)\) there are some IV-CIFVs, and if IV-CIFDWG operation is applied to them, their aggregated value is IV-CIFVs again, and.

where \(\upvarepsilon ={\left({\upvarepsilon }_{1}, {\upvarepsilon }_{2}, \dots , {\upvarepsilon }_{n}\right)}^{t}\) be the weight vector of \({{{\ddot{\upalpha}}}}_{i}\left(i=\text{1,2}, \dots , n\right), {\upvarepsilon }_{i}>0\) and \({\sum }_{i=1}^{n}{\upvarepsilon }_{i}=1.\)
Proof is provided in the appendix section.
Theorem 6
(Idempotency property) If \({{{\ddot{\upalpha}}}}_{i}=\left(\left[{{\beta }_{i}}_{{\dot{\text{M}}}}^{l}, {{\beta }_{i}}_{{\dot{\text{M}}}}^{u}\right], \left[{{\nu }_{i}}_{\mathcal{n}}^{l}, {{\nu }_{i}}_{\mathcal{n}}^{u}\right], \left[{{\eta }_{i}}_{\lambda }^{l}, {{\eta }_{i}}_{\lambda }^{l}\right]\right)\left(i=\text{1,2}, \dots , n\right)\) be some IV-CIFVs, all of which are identical, i.e., \({{{\ddot{\upalpha}}}}_{i}={{\ddot{\upalpha}}}\) for all \(\text{i},\) where \({{\ddot{\upalpha}}}=(\left[{\beta }_{{\dot{\text{M}}}}^{l}, {\beta }_{{\dot{\text{M}}}}^{u}\right], \left[{\nu }_{\mathcal{n}}^{l}, {\nu }_{\mathcal{n}}^{u}\right], \left[{\eta }_{\lambda }^{l}, {\eta }_{\lambda }^{u}\right])\). Then:
$$IV-CIFDWG \left({{{\ddot{\upalpha}}}}_{1}, {{{\ddot{\upalpha}}}}_{2}, \dots , {{{\ddot{\upalpha}}}}_{n}\right)={{\ddot{\upalpha}}}$$
Proof is provided in the appendix section.
Theorem 7
(Boundedness property) If \({{{\ddot{\upalpha}}}}_{i}=\left(\left[{{\beta }_{i}}_{{\dot{\text{M}}}}^{l}, {{\beta }_{i}}_{{\dot{\text{M}}}}^{u} \right], \left[{{\nu }_{i}}_{\mathcal{n}}^{l}, {{\nu }_{i}}_{\mathcal{n}}^{u}\right], \left[{{\eta }_{i}}_{\lambda }^{l}, {{\eta }_{i}}_{\lambda }^{u}\right]\right)\left(i=\text{1,2}, \dots ,n\right)\) be some IV-CIFVs. Let \({{{\ddot{\upalpha}}}}^{-}=\text{m}in\left\{{{{\ddot{\upalpha}}}}_{1}, {{{\ddot{\upalpha}}}}_{2}, \dots , {{{\ddot{\upalpha}}}}_{n}\right\}\) and \({{{\ddot{\upalpha}}}}^{+}=\text{m}ax\left\{{{{\ddot{\upalpha}}}}_{1}, {{{\ddot{\upalpha}}}}_{2}, \dots , {{{\ddot{\upalpha}}}}_{n}\right\}.\) Then \(, {{{\ddot{\upalpha}}}}^{-}\le IV-CIFDWA\left({{{\ddot{\upalpha}}}}_{1}, {{{\ddot{\upalpha}}}}_{2}, \dots , {{{\ddot{\upalpha}}}}_{n}\right)\le {{{\ddot{\upalpha}}}}^{+}.\)
Proof is provided in the appendix section.
Theorem 8
(Monotonicity property) Let \({{{\ddot{\upalpha}}}}_{i}\) and \({{{\ddot{\upalpha}}}}_{i}^{\prime}\left(i=1, 2,\dots ,n\right)\) are two sets of IV-CIFVs, \({{{\ddot{\upalpha}}}}_{i}\le {{{\ddot{\upalpha}}}}_{i}^{\prime}\) for all \(i\) then \(IV-CIFDWG\left({{{\ddot{\upalpha}}}}_{1}, {{{\ddot{\upalpha}}}}_{2}, \dots , {{{\ddot{\upalpha}}}}_{n}\right)\le IV-CIFDWG\left({{{\ddot{\upalpha}}}}_{1}^{\prime}, {{{\ddot{\upalpha}}}}_{2}^{\prime},\dots , {{{\ddot{\upalpha}}}}_{n}^{\prime}\right).\)
link
